jjunehee
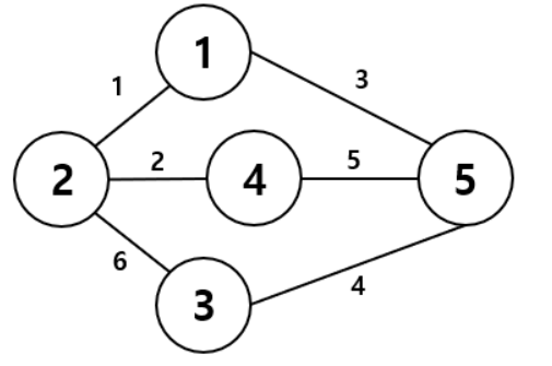
크루스칼 알고리즘이란 무엇일까